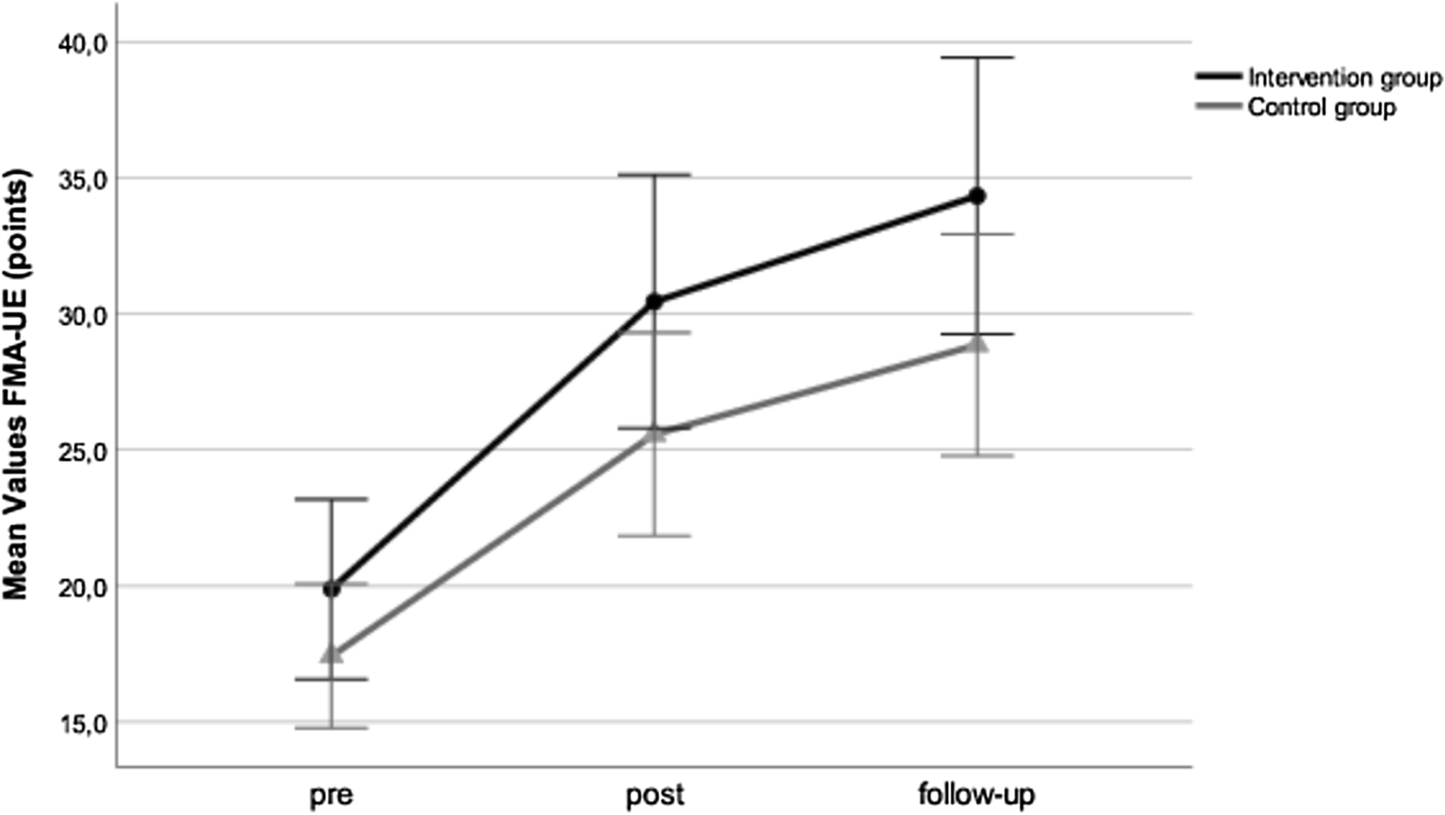
Fig. 2From: Behavioral and neurophysiological effects of an intensified robot-assisted therapy in subacute stroke: a case control studyChanges of the Fugl-Meyer Assessment for Upper Extremity (FMA-UE) for both groups and three measurement times. Mean values and ± 1 standard error are displayedBack to article page